金属钛是高技术领域的重要原材料,由于它质量轻密度小、机械强度高,以及耐腐蚀等优异性能,在太空、大洋、深地等极端环境具有广泛甚至不可替代的应用价值。如今,单质钛金属在高压展现出新的突出性能,在已知元素超导体中呈现Tc 26 K以上的超导转变最高温度。
中国科学院物理研究所/北京凝聚态物理国家研究中心极端条件物理重点实验室靳常青团队长期开展高压极端条件新材料制备及功能调控研究,设计研发具有自主知识产权的高压、低温、强场和激光加热的联合实验装置,可进行超高压高温合成和在位物性联合表征研究。运用以上先进的极端条件技术,他们相继揭示了系列功能材料在极端条件的新奇构效关联,包括关联、拓扑、聚合物等新兴功能材料体系 (PNAS 105, 7115(2008);JACS 132, 4876(2010);PNAS 108, 24(2011); JACS 133, 7892(2011);PNAS 110, 17263(2013); Nature Commun. 5, 3731(2014); Adv. Mater. 29, 1700715(2017); Angew. Chem. Int. Ed. 56, 1(2017); NPG Asia Mater. 11, 60(2019))。他们近期运用高压合成技术,实验发现了首个4d过渡金属富氢高温超导材料Tc 71K的锆基超导体(Sci. Bull. 67, 907 (2022)),实验发现了首个5d过渡金属富氢高温超导材料Tc 83K的铪基超导体(Mater Today Phys 27, 100826(2022));他们独立发现了210K以上的钙基富氢高温超导体(Nature Commun. 13, 2863 (2022)),成为继硫氢、稀土氢化物又1个Tc超过200K的2元高温超导材料,进一步拓展了高温超导材料的范畴。

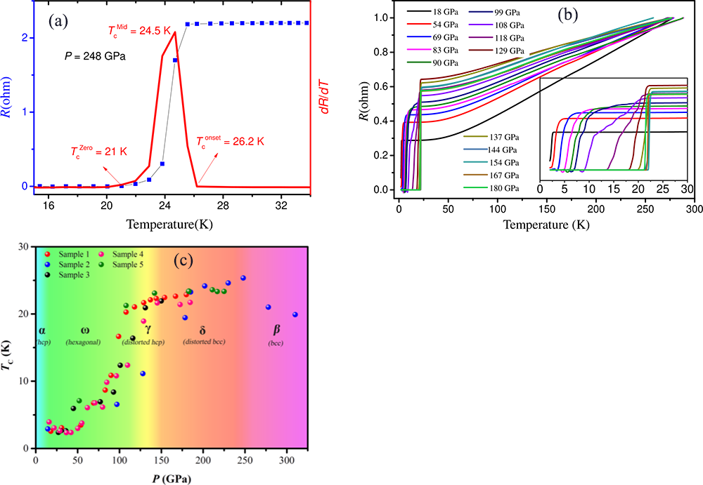
图1 钛金属(a)248 GPa压力具有Tc~26.2 K的元素超导座高超导转变温度,(b)导电性随压力和随温度的演化,(c)在310GPa范围高压超导相图。
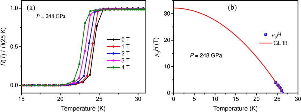
靳常青、望贤成团队近期在元素超导研究上取得新进展,实验发现了金属钛在高压具有转变温度Tc>26 K的超导,刷新了元素超导最高转变温度记录 (图1a)。高压在位电学实验表征揭示:随着压力增加,钛的Tc从2 K @18 GPa逐渐增加到~10 K @99 GPa;在~108 GPa压力附近,Tc快速上升至~20 K;随后Tc随压力缓慢增加,在248 GPa钛的超导温度达到最高值 26.2 K;随着压力进一步增加,超导Tc略有下降(图1b)。图1c为金属钛的高压超导详细相图,涵盖常压至310GPa (1GPa ~1万压力)范围,本实验达到的310万压力是迄今报导所有已知材料可具有和保持超导特性的最高压力。根据超导转变随外加磁场的变化,估算26 K 钛金属的超导相的上临界场μ0Hc2(0)约为30 Tesla,对应Ginzburg Landau超导相干长度为32 Å(图2 a、b)。

图2 钛金属在248 GPa压力(a)超导转变随外加磁场变化,(b)估算的相应上临界场。
美国内达华大学Changfeng Chen教授团队理论计算表明,随着压力增大,费米能级附近与3d轨道重叠的4s轨道能级进一步上移,导致电子逐渐从4s轨道向3d轨道转移;在180 GPa压力以上,费米能级附近能带主要由3d电子占据(图3),这表明高压下金属钛的高温超导与具有电子关联属性的3d电子密切相关。与美国APS团队及北京高压科技中心科刘浩哲研究员团队合作,通过高压同步辐射X光衍射进一步揭示金属钛在高压发生系列晶体结构相变,即具有六方密堆结构的Tiα相(0~9 GPa)、六方结构Tiω相(9~116 GPa)、畸变的六方密堆结构Tiγ相(116~140 GPa)、畸变的体心立方结构Tiδ相(140~243 GPa)、简单体心立方结构Tiβ相(>243 GPa)。这些相具有相同或者比较接近的配位构型,结合化学预压设计有可能实现高压超导相在近常规条件以亚稳相的形式再现,亚稳超导相常压截获已有先例。早在1965年Matthias和Geballe等发现Nb3Ge具有17K的超导温度,1973年Nb3Ge常压薄膜亚稳相的超导温度提升至23K的当时已知超导材料最高记录,这个最高温度记录一直保持到1986年铜基高温超导的发现。基于Ti金属高压亚稳相的特点,结合薄膜应力和快冷等技术,有可能在常压条件再现高温超导相的结构。倘若能够实现薄膜亚稳相超导,基于约瑟夫森效应,Ti单质26K高温超导将在量子电路设计构筑上具有重要应用前景。NbTi合金是目前广泛应用的合金超导材料(占低温超导材料强电应用90%以上),但它的超导温度只有10K左右,上临界场约为15Tesla。相较NbTi合金超导材料,钛元素超导体的超导温度和上临界场都翻了1番,在极端使役条件和强电领域具有潜在应用前景。

图3 钛金属在不同压力的电子能带结构计算:(a)Tiω @20 GPa,(b)Tiγ @ 100 GPa和(c)Tiδ @ 180 GPa。红色和灰色分别代表4s和3d轨道在能带上投影,点大小代表能带投影权重。
本工作揭示了通过电声耦合与电子关联效应的联合作用,可以在单元素等组分简单的材料实现更高的超导转变温度,这将使得超导材料的加工和应用变得相对简单。
以上研究工作发表在Nat. Commun. 13,5411(2022)上,博士研究生张昌玲和何鑫为共同第一作者,望贤成、Changfeng Chen和靳常青为共同通讯作者。研究得到基金委创新研究群体、科技部和中科院先导专项项目的资助。